|
Lecture Notes 5 Economics of the
Environment and Natural Resources/Economics of Sustainability K Foster, CCNY, Spring 2011 |
|
|
|
Regulation of Pollution |
|
|
Command & Control
good because:
flexible in complex processes (law of unintended consequences)
more certainty for producers
bad because:
need so much information
low incentives for innovation
inefficient since generally violate equimarginal principle
Other refinements & policies:
subsidies might occasionally have some "bonus" or increasing returns provision, as with land use: a landowner who converts land to park gets more subsidy if it borders on an existing park; this is useful if the marginal benefits (to species habitat) are increasing in contiguous land area
from
Law & Econ, we know that 100% monitoring is inefficient, better to catch
some portion of offenders but fine them extra (see below)
could use "performance bonds" but these need careful monitoring (since generally forfeiture of bond involves lengthy legal proceedings); sometimes used on surface mining; also impose liquidity costs (extra financing needed) and open 'moral hazard' for regulators – 'pay-to -play'
|
Fees & Tradable
Permits |
|
|
A fee or tax per unit of emission is the Pigouvian solution – set the price and let firms decide. Tradable permits can give an equivalent outcome – permits are sold for a price; this price is essentially a tax.
Tradable Permits
Suppose
EPA issues L permits for pollution and each firm gets Li
Firm
emissions are
and ![]()
Pollution,
p, is
, so ![]()
price
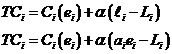
of pollution is a
So firm's total cost is

to minimize these costs set MTC=0 so
therefore
![]()
thus equimarginal principle is met
if there are multiple receptor standards, all of which must be met, then firms will choose ei to meet the lowest limit
3 Results:
Equilibrium exists for any initial allocation of permits
Emissions from each source are efficient (no matter initial allocation)
If price equals marginal damage then equimarginal principle holds
Tradable Permits are usually allocated by either
- giving them away to current polluters (usually proportional to current pollution amounts, sometimes called 'grandfathering')
- auctioning them off to the highest bidder